>

 

3.5.- SEGUNDA LEY DE EULER EN TÉRMINOS DE LA CANTIDAD DE MOVIMIENTO ANGULAR (IMPETU ANGULAR, MOMENTO CINÉTICO O MOMENTUM ANGULAR).-

 

3.5.1.- Momentum Angular para un sistema de partículas.-

 

3.5.1.1.- Para la partícula iesima respecto a un punto fijo "O" en :

 

[3.5.1.1.0.1]

 

Ejemplo de Momento cinético de una particula respecto a un punto fijo : Haga click aquí

 

3.5.1.2.- Para el sistema de partículas, respecto a un punto fijo "O" en :

 

[3.5.1.2.0.1]

Dinámica | Cinética de Sistemas de Partículas | Cantidad de Movimiento Angular

 

3.5.1.3.- Para el sistema de partículas, respecto a un punto móvil "A":

 

Sea:

 

A Un punto cualquiera.

G Centro de masa.

O Punto fijo en .

Vector posición de A en .

Vector posición de en .

Vector posición de G en .

Vector posición de G, respecto a A.


Figura F3-5.1.3

 

El Momentum angular (inercial), es:

 

[3.5.1.3.0.1]

 

El Momentum angular relativo, es:

 

[3.5.1.3.0.2]

 

3.5.1.4.- Para el sistema de partículas, con respecto al centro de masa:

 

[3.5.1.4.0.1]

 

Si:

 

 

[3.5.1.4.0.2]

 

Nota .- Las Cantidades de movimiento angular con respecto al centro de masa inercial y relativa son iguales.

 

3.5.1.5.- Relaciones de con :

 

Si:

 

 

[3.5.1.5.0.1]

 

Si:

 

 

[3.5.1.5.0.2]

 

3.5.2.- Utilizando la segunda Ley de Euler.-

 

3.5.2.1.- Por la forma fundamental de la segunda Ley de Euler:

 

 

[3.5.2.1.0.1]

 

3.5.2.1.0.1 nos da la segunda Ley de Euler, en términos del momentum angular.

 

Si:

 

 

Luego:

 

[3.5.2.1.0.2]

 

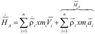
3.5.2.2.- Momento respecto al punto arbitrario "A":

 

Si:

 

 

 

Derivándole este último, respecto al tiempo:

 

 

[3.5.2.2.0.1]

 

Si:

 

 

 

[3.5.2.2.0.2]

 

Para el momentum angular relativo, tenemos:

 

 

 

[3.5.2.2.0.3]

 

El estudio del momento se simplifica, si:

 

a).- , para ; esto, se da cuando:

 

i).- A Es un punto fijo en

 

ii).- G Es un punto fijo en

 

iii).- A Es el centro de masa

 

De 3.5.1.4.0.1:

 

 

 

[3.5.2.2.0.4]

 

4i)

 

b).- , para ; esto, se da cuando:

 

i).- A Es un punto fijo en

 

ii).- A Es el centro de masa.

 

iii).- Es constante.

 

3.5.3.- Impulso Angular y Momentum Angular a un punto fijo o al centro de masa:

 

 

Separando variables e integrando:

 

[3.5.3.0.0.1]

 

Ejemplo: Encontrar el movimiento del mono y los platanos, para distintas condiciones.

 

 

Conservación del momentum angular:

 

 

Constante

[3.5.3.0.0.2]

 

Nota.- Cuando se estudia medios continuos más complejos como la dinámica de fluidos con transferencia de calor y compresible, debemos satisfacer cuatro leyes básicas: a) Conservación de la masa, b) Cantidad de movimiento lineal y cantidad de movimiento angular, c) Primera ley de la termodinámica y d) Segunda ley de la termodinámica, que son independientes entre sí (es decir deben satisfacer por separado).

 

 


Lección Anterior Página anterior Siguiente página Siguiente Lección

 

Regresar al InicioInicio
Visite la página de la Universidad Nacional de Ancash 'Santiago Antunez de Mayolo'