|
2).- Cuando el motor está funcionando.- La fuerza periódica que hace, que el motor vibre es la fuerza centrífuga debido al efecto del desbalanceo del rotor.
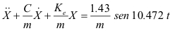
El modelo discretizado del sistema (ver figura P5-9b) es:
a).- D.C.L.(ver figura P5-9c):
b).- Relaciones cinéticas:


|