E5.2.- Un tablón uniforme está soportado sobre dos ruedas que gira en direcciones opuestas con una rapidez angular constante. Si el coeficiente de fricción entre las ruedas y el tablón es , determine la frecuencia circular de vibración del tablón si se desplaza ligeramente una distancia X con respecto al punto medio entre las ruedas y se suelta.

Figura P5-2

Solución

1).- D.C.L. del tablón:

Figura P5-2a

2).- Relaciones cinéticas (el tablón tiene un movimiento de traslación):

(1)
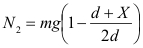
(2)
(3)

2) en (1):

(4)

En (2):

(5)

(4) y (5) en (3):

(Movimiento libre no amortiguado)
(6)

De (6):

(Unidades de velocidad angular)


 

Regresar al menú de problemasRegresar
Visite la página de la Universidad Nacional de Ancash 'Santiago Antunez de Mayolo'